AVL 树
AVL 树
AVL 树,是一种平衡的二叉搜索树。由于各种算法教材上对 AVL 的介绍十分冗长,造成了很多人对 AVL 树复杂、不实用的印象。但实际上,AVL 树的原理简单,实现也并不复杂。
性质
- 空二叉树是一个 AVL 树
- 如果 T 是一棵 AVL 树,那么其左右子树也是 AVL 树,并且 ,h 是其左右子树的高度
- 树高为
平衡因子:右子树高度 - 左子树高度
"树高的证明" 设 为高度为 的 AVL 树所包含的最少节点数,则有
根据常系数非齐次线性差分方程的解法, 是一个斐波那契数列。这里 的通项为:
斐波那契数列以指数的速度增长,对于树高 有:
因此 AVL 树的高度为 ,这里的 为结点数。
过程
插入结点
与 BST(二叉搜索树)中类似,先进行一次失败的查找来确定插入的位置,插入节点后根据平衡因子来决定是否需要调整。
删除结点
删除和 BST 类似,将结点与后继交换后再删除。
删除会导致树高以及平衡因子变化,这时需要沿着被删除结点到根的路径来调整这种变化。
平衡的维护
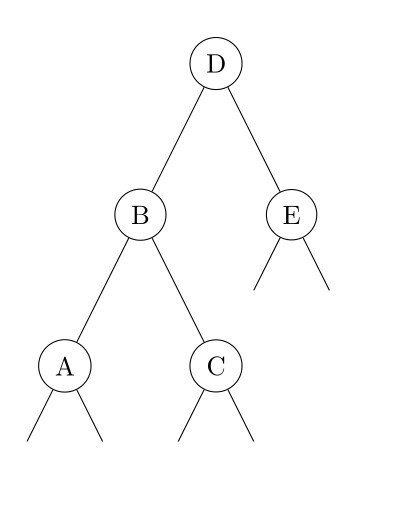
插入或删除节点后,可能会造成 AVL 树的性质 2 被破坏。因此,需要沿着从被插入/删除的节点到根的路径对树进行维护。如果对于某一个节点,性质 2 不再满足,由于我们只插入/删除了一个节点,对树高的影响不超过 1,因此该节点的平衡因子的绝对值至多为 2。由于对称性,我们在此只讨论左子树的高度比右子树大 2 的情况,即下图中 。此时,还需要根据 和 的大小关系分两种情况讨论。需要注意的是,由于我们是自底向上维护平衡的,因此对节点 D 的所有后代来说,性质 2 仍然是被满足的。

设 ,则有
其中 是由于节点 B 满足性质 2,因此 和 的差不会超过 1。此时我们对节点 D 进行一次右旋操作(旋转操作与其它类型的平衡二叉搜索树相同),如下图所示。

显然节点 A、C、E 的高度不发生变化,并且有
因此旋转后的节点 B 和 D 也满足性质 2。
设 ,则与刚才同理,有
此时我们先对节点 B 进行一次左旋操作,再对节点 D 进行一次右旋操作,如下图所示。

显然节点 A、E 的高度不发生变化,并且 B 的新右儿子和 D 的新左儿子分别为 C 原来的左右儿子,则有
因此旋转后的节点 B、C、D 也满足性质 2。最后给出对于一个节点维护平衡操作的伪代码。
"实现"
Maintain-Balanced(p)
if h[ls[p]] - h[rs[p]] == 2
if h[ls[ls[p]]] >= h[rs[ls[p]]]
Right-Rotate(p)
else
Left-Rotate(ls[p])
Right-Rotate(p)
else if h[ls[p]] - h[rs[p]] == -2
if h[ls[rs[p]]] <= h[rs[rs[p]]]
Left-Rotate(p)
else
Right-Rotate(rs[p])
Left-Rotate(p)
与其他平衡二叉搜索树相同,AVL 树中节点的高度、子树大小等信息需要在旋转时进行维护。
其他操作
AVL 树的其他操作(Predecessor、Successor、Select、Rank 等)与普通的二叉搜索树相同。
参考代码
下面的代码是用 AVL 树实现的 Map,即有序不可重映射:
"参考代码"
/**
* @brief An AVLTree-based map implementation
* @details The map is sorted according to the natural ordering of its
* keys or by a {@code Compare} function provided; This implementation
* provides guaranteed log(n) time cost for the contains, get, insert
* and remove operations.
*/
#ifndef AVLTREE_MAP_HPP
#define AVLTREE_MAP_HPP
#include <cassert>
#include <cstddef>
#include <cstdint>
#include <functional>
#include <memory>
#include <stack>
#include <utility>
#include <vector>
/**
* An AVLTree-based map implementation
* https://en.wikipedia.org/wiki/AVL_tree
* @tparam Key the type of keys maintained by this map
* @tparam Value the type of mapped values
* @tparam Compare
*/
template <typename Key, typename Value, typename Compare = std::less<Key> >
class AvlTreeMap {
private:
using USize = size_t;
using Factor = int64_t;
Compare compare = Compare();
public:
struct Entry {
Key key;
Value value;
bool operator==(const Entry &rhs) const noexcept {
return this->key == rhs.key && this->value == rhs.value;
}
bool operator!=(const Entry &rhs) const noexcept {
return this->key != rhs.key || this->value != rhs.value;
}
};
private:
struct Node {
using Ptr = std::shared_ptr<Node>;
using Provider = const std::function<Ptr(void)> &;
using Consumer = const std::function<void(const Ptr &)> &;
Key key;
Value value{};
Ptr left = nullptr;
Ptr right = nullptr;
USize height = 1;
explicit Node(Key k) : key(std::move(k)) {}
explicit Node(Key k, Value v) : key(std::move(k)), value(std::move(v)) {}
~Node() = default;
inline bool isLeaf() const noexcept {
return this->left == nullptr && this->right == nullptr;
}
inline void updateHeight() noexcept {
if (this->isLeaf()) {
this->height = 1;
} else if (this->left == nullptr) {
this->height = this->right->height + 1;
} else if (this->right == nullptr) {
this->height = this->left->height + 1;
} else {
this->height = std::max(left->height, right->height) + 1;
}
}
inline Factor factor() const noexcept {
if (this->isLeaf()) {
return 0;
} else if (this->left == nullptr) {
return (Factor)this->right->height;
} else if (this->right == nullptr) {
return (Factor) - this->left->height;
} else {
return (Factor)(this->right->height - this->left->height);
}
}
inline Entry entry() const { return Entry{key, value}; }
static Ptr from(const Key &k) { return std::make_shared<Node>(Node(k)); }
static Ptr from(const Key &k, const Value &v) {
return std::make_shared<Node>(Node(k, v));
}
};
using NodePtr = typename Node::Ptr;
using ConstNodePtr = const NodePtr &;
using NodeProvider = typename Node::Provider;
using NodeConsumer = typename Node::Consumer;
NodePtr root = nullptr;
USize count = 0;
using K = const Key &;
using V = const Value &;
public:
using EntryList = std::vector<Entry>;
using KeyValueConsumer = const std::function<void(K, V)> &;
using MutKeyValueConsumer = const std::function<void(K, Value &)> &;
using KeyValueFilter = const std::function<bool(K, V)> &;
class NoSuchMappingException : protected std::exception {
private:
const char *message;
public:
explicit NoSuchMappingException(const char *msg) : message(msg) {}
const char *what() const noexcept override { return message; }
};
AvlTreeMap() noexcept = default;
/**
* Returns the number of entries in this map.
* @return size_t
*/
inline USize size() const noexcept { return this->count; }
/**
* Returns true if this collection contains no elements.
* @return bool
*/
inline bool empty() const noexcept { return this->count == 0; }
/**
* Removes all of the elements from this map.
*/
void clear() noexcept {
this->root = nullptr;
this->count = 0;
}
/**
* Returns the value to which the specified key is mapped; If this map
* contains no mapping for the key, a {@code NoSuchMappingException} will
* be thrown.
* @param key
* @return AvlTreeMap<Key, Value>::Value
* @throws NoSuchMappingException
*/
Value get(K key) const {
if (this->root == nullptr) {
throw NoSuchMappingException("Invalid key");
} else {
NodePtr node = this->getNode(this->root, key);
if (node != nullptr) {
return node->value;
} else {
throw NoSuchMappingException("Invalid key");
}
}
}
/**
* Returns the value to which the specified key is mapped; If this map
* contains no mapping for the key, a new mapping with a default value
* will be inserted.
* @param key
* @return AvlTreeMap<Key, Value>::Value &
*/
Value &getOrDefault(K key) {
if (this->root == nullptr) {
this->root = Node::from(key);
this->count += 1;
return this->root->value;
} else {
return this
->getNodeOrProvide(this->root, key,
[&key]() { return Node::from(key); })
->value;
}
}
/**
* Returns true if this map contains a mapping for the specified key.
* @param key
* @return bool
*/
bool contains(K key) const {
return this->getNode(this->root, key) != nullptr;
}
/**
* Associates the specified value with the specified key in this map.
* @param key
* @param value
*/
void insert(K key, V value) {
if (this->root == nullptr) {
this->root = Node::from(key, value);
this->count += 1;
} else {
this->insert(this->root, key, value);
}
}
/**
* If the specified key is not already associated with a value, associates
* it with the given value and returns true, else returns false.
* @param key
* @param value
* @return bool
*/
bool insertIfAbsent(K key, V value) {
USize sizeBeforeInsertion = this->size();
if (this->root == nullptr) {
this->root = Node::from(key, value);
this->count += 1;
} else {
this->insert(this->root, key, value, false);
}
return this->size() > sizeBeforeInsertion;
}
/**
* If the specified key is not already associated with a value, associates
* it with the given value and returns the value, else returns the associated
* value.
* @param key
* @param value
* @return
*/
Value &getOrInsert(K key, V value) {
if (this->root == nullptr) {
this->root = Node::from(key, value);
this->count += 1;
return root->value;
} else {
NodePtr node = getNodeOrProvide(this->root, key,
[&]() { return Node::from(key, value); });
return node->value;
}
}
Value operator[](K key) const { return this->get(key); }
Value &operator[](K key) { return this->getOrDefault(key); }
/**
* Removes the mapping for a key from this map if it is present;
* Returns true if the mapping is present else returns false
* @param key the key of the mapping
* @return bool
*/
bool remove(K key) {
if (this->root == nullptr) {
return false;
} else {
return this->remove(this->root, key, [](ConstNodePtr) {});
}
}
/**
* Removes the mapping for a key from this map if it is present and returns
* the value which is mapped to the key; If this map contains no mapping for
* the key, a {@code NoSuchMappingException} will be thrown.
* @param key
* @return AvlTreeMap<Key, Value>::Value
* @throws NoSuchMappingException
*/
Value getAndRemove(K key) {
Value result;
NodeConsumer action = [&](ConstNodePtr node) { result = node->value; };
if (root == nullptr) {
throw NoSuchMappingException("Invalid key");
} else {
if (remove(this->root, key, action)) {
return result;
} else {
throw NoSuchMappingException("Invalid key");
}
}
}
/**
* Gets the entry corresponding to the specified key; if no such entry
* exists, returns the entry for the least key greater than the specified
* key; if no such entry exists (i.e., the greatest key in the Tree is less
* than the specified key), a {@code NoSuchMappingException} will be thrown.
* @param key
* @return AvlTreeMap<Key, Value>::Entry
* @throws NoSuchMappingException
*/
Entry getCeilingEntry(K key) const {
if (this->root == nullptr) {
throw NoSuchMappingException("No ceiling entry in this map");
}
NodePtr node = this->root;
std::stack<NodePtr> ancestors;
while (node != nullptr) {
if (key == node->key) {
return node->entry();
}
if (compare(key, node->key)) {
/* key < node->key */
if (node->left != nullptr) {
ancestors.push(node);
node = node->left;
} else {
return node->entry();
}
} else {
/* key > node->key */
if (node->right != nullptr) {
ancestors.push(node);
node = node->right;
} else {
if (ancestors.empty()) {
throw NoSuchMappingException("No ceiling entry in this map");
}
NodePtr parent = ancestors.top();
ancestors.pop();
while (node == parent->right) {
node = parent;
if (!ancestors.empty()) {
parent = ancestors.top();
ancestors.pop();
} else {
throw NoSuchMappingException("No ceiling entry in this map");
}
}
return parent->entry();
}
}
}
throw NoSuchMappingException("No ceiling entry in this map");
}
/**
* Gets the entry corresponding to the specified key; if no such entry exists,
* returns the entry for the greatest key less than the specified key;
* if no such entry exists, a {@code NoSuchMappingException} will be thrown.
* @param key
* @return AvlTreeMap<Key, Value>::Entry
* @throws NoSuchMappingException
*/
Entry getFloorEntry(K key) const {
if (this->root == nullptr) {
throw NoSuchMappingException("No floor entry exists in this map");
}
NodePtr node = this->root;
std::stack<NodePtr> ancestors;
while (node != nullptr) {
if (key == node->key) {
return node->entry();
}
if (compare(key, node->key)) {
/* key < node->key */
if (node->left != nullptr) {
ancestors.push(node);
node = node->left;
} else {
if (ancestors.empty()) {
throw NoSuchMappingException("No floor entry exists in this map");
}
NodePtr parent = ancestors.top();
ancestors.pop();
while (node == parent->left) {
node = parent;
if (!ancestors.empty()) {
parent = ancestors.top();
ancestors.pop();
} else {
throw NoSuchMappingException("No floor entry exists in this map");
}
}
return parent->entry();
}
} else {
/* key > node->key */
if (node->right != nullptr) {
ancestors.push(node);
node = node->right;
} else {
return node->entry();
}
}
}
throw NoSuchMappingException("No floor entry exists in this map");
}
/**
* Gets the entry for the least key greater than the specified
* key; if no such entry exists, returns the entry for the least
* key greater than the specified key; if no such entry exists,
* a {@code NoSuchMappingException} will be thrown.
* @param key
* @return AvlTreeMap<Key, Value>::Entry
* @throws NoSuchMappingException
*/
Entry getHigherEntry(K key) {
if (this->root == nullptr) {
throw NoSuchMappingException("No higher entry exists in this map");
}
NodePtr node = this->root;
std::stack<NodePtr> ancestors;
while (node != nullptr) {
if (compare(key, node->key)) {
/* key < node->key */
if (node->left != nullptr) {
ancestors.push(node);
node = node->left;
} else {
return node->entry();
}
} else {
/* key >= node->key */
if (node->right != nullptr) {
ancestors.push(node);
node = node->right;
} else {
if (ancestors.empty()) {
throw NoSuchMappingException("No higher entry exists in this map");
}
NodePtr parent = ancestors.top();
ancestors.pop();
while (node == parent->right) {
node = parent;
if (!ancestors.empty()) {
parent = ancestors.top();
ancestors.pop();
} else {
throw NoSuchMappingException(
"No higher entry exists in this map");
}
}
return parent->entry();
}
}
}
throw NoSuchMappingException("No higher entry exists in this map");
}
/**
* Returns the entry for the greatest key less than the specified key; if
* no such entry exists (i.e., the least key in the Tree is greater than
* the specified key), a {@code NoSuchMappingException} will be thrown.
* @param key
* @return AvlTreeMap<Key, Value>::Entry
* @throws NoSuchMappingException
*/
Entry getLowerEntry(K key) const {
if (this->root == nullptr) {
throw NoSuchMappingException("No lower entry exists in this map");
}
NodePtr node = this->root;
std::stack<NodePtr> ancestors;
while (node != nullptr) {
if (compare(key, node->key) || key == node->key) {
/* key <= node->key */
if (node->left != nullptr) {
ancestors.push(node);
node = node->left;
} else {
if (ancestors.empty()) {
throw NoSuchMappingException("No lower entry exists in this map");
}
NodePtr parent = ancestors.top();
ancestors.pop();
while (node == parent->left) {
node = parent;
if (!ancestors.empty()) {
parent = ancestors.top();
ancestors.pop();
} else {
throw NoSuchMappingException("No lower entry exists in this map");
}
}
return parent->entry();
}
} else {
/* key > node->key */
if (node->right != nullptr) {
ancestors.push(node);
node = node->right;
} else {
return node->entry();
}
}
}
throw NoSuchMappingException("No lower entry exists in this map");
}
/**
* Remove all entries that satisfy the filter condition.
* @param filter
*/
void removeAll(KeyValueFilter filter) {
std::vector<Key> keys;
this->inorderTraversal([&](ConstNodePtr node) {
if (filter(node->key, node->value)) {
keys.push_back(node->key);
}
});
for (const Key &key : keys) {
this->remove(key);
}
}
/**
* Performs the given action for each key and value entry in this map.
* The value is immutable for the action.
* @param action
*/
void forEach(KeyValueConsumer action) const {
this->inorderTraversal(
[&](ConstNodePtr node) { action(node->key, node->value); });
}
/**
* Performs the given action for each key and value entry in this map.
* The value is mutable for the action.
* @param action
*/
void forEachMut(MutKeyValueConsumer action) {
this->inorderTraversal(
[&](ConstNodePtr node) { action(node->key, node->value); });
}
/**
* Returns a list containing all of the entries in this map.
* @return AvlTreeMap<Key, Value>::EntryList
*/
EntryList toEntryList() const {
EntryList entryList;
this->inorderTraversal(
[&](ConstNodePtr node) { entryList.push_back(node->entry()); });
return entryList;
}
private:
static NodePtr rotateLeft(ConstNodePtr node) {
// clang-format off
// | |
// N S
// / \ l-rotate(N) / \
// L S=======> N R
// / \ / \
// M R L M
NodePtr successor = node->right;
// clang-format on
node->right = successor->left;
successor->left = node;
node->updateHeight();
successor->updateHeight();
return successor;
}
static NodePtr rotateRight(ConstNodePtr node) {
// clang-format off
// | |
// N S
// / \ r-rotate(N) / \
// S R ==========> L N
// / \ / \
// L M M R
NodePtr successor = node->left;
// clang-format on
node->left = successor->right;
successor->right = node;
node->updateHeight();
successor->updateHeight();
return successor;
}
static void swapNode(NodePtr &lhs, NodePtr &rhs) {
std::swap(lhs->key, rhs->key);
std::swap(lhs->value, rhs->value);
std::swap(lhs, rhs);
}
static void fixBalance(NodePtr &node) {
if (node->factor() < -1) {
if (node->left->factor() < 0) {
// clang-format off
// Left-Left Case
// |
// C |
// / r-rotate(C) B
// B=======> / \
// / A C
// A
// clang-format on
node = rotateRight(node);
} else {
// clang-format off
// Left-Right Case
// | |
// C C |
// / l-rotate(A) / r-rotate(C) B
// A=======> B=======> / \
// \ / A C
// B A
// clang-format on
node->left = rotateLeft(node->left);
node = rotateRight(node);
}
} else if (node->factor() > 1) {
if (node->right->factor() > 0) {
// clang-format off
// Right-Right Case
// |
// C |
// \ l-rotate(C) B
// B=======> / \
// \ A C
// A
// clang-format on
node = rotateLeft(node);
} else {
// clang-format off
// Right-Left Case
// | |
// A A |
// \ r-rotate(C) \ l-rotate(A) B
// C ==========> B=======> / \
// / \ A C
// B C
// clang-format on
node->right = rotateRight(node->right);
node = rotateLeft(node);
}
}
}
NodePtr getNodeOrProvide(NodePtr &node, K key, NodeProvider provide) {
assert(node != nullptr);
if (key == node->key) {
return node;
}
assert(key != node->key);
NodePtr result;
if (compare(key, node->key)) {
/* key < node->key */
if (node->left == nullptr) {
result = node->left = provide();
this->count += 1;
node->updateHeight();
} else {
result = getNodeOrProvide(node->left, key, provide);
node->updateHeight();
fixBalance(node);
}
} else {
/* key > node->key */
if (node->right == nullptr) {
result = node->right = provide();
this->count += 1;
node->updateHeight();
} else {
result = getNodeOrProvide(node->right, key, provide);
node->updateHeight();
fixBalance(node);
}
}
return result;
}
NodePtr getNode(ConstNodePtr node, K key) const {
assert(node != nullptr);
if (key == node->key) {
return node;
}
if (compare(key, node->key)) {
/* key < node->key */
return node->left == nullptr ? nullptr : getNode(node->left, key);
} else {
/* key > node->key */
return node->right == nullptr ? nullptr : getNode(node->right, key);
}
}
void insert(NodePtr &node, K key, V value, bool replace = true) {
assert(node != nullptr);
if (key == node->key) {
if (replace) {
node->value = value;
}
return;
}
assert(key != node->key);
if (compare(key, node->key)) {
/* key < node->key */
if (node->left == nullptr) {
node->left = Node::from(key, value);
this->count += 1;
node->updateHeight();
} else {
insert(node->left, key, value, replace);
node->updateHeight();
fixBalance(node);
}
} else {
/* key > node->key */
if (node->right == nullptr) {
node->right = Node::from(key, value);
this->count += 1;
node->updateHeight();
} else {
insert(node->right, key, value, replace);
node->updateHeight();
fixBalance(node);
}
}
}
bool remove(NodePtr &node, K key, NodeConsumer action) {
assert(node != nullptr);
if (key != node->key) {
if (compare(key, node->key)) {
/* key < node->key */
NodePtr &left = node->left;
if (left != nullptr && remove(left, key, action)) {
node->updateHeight();
fixBalance(node);
return true;
} else {
return false;
}
} else {
/* key > node->key */
NodePtr &right = node->right;
if (right != nullptr && remove(right, key, action)) {
node->updateHeight();
fixBalance(node);
return true;
} else {
return false;
}
}
}
assert(key == node->key);
action(node);
if (node->isLeaf()) {
// Case 1: no child
node = nullptr;
} else if (node->right == nullptr) {
// clang-format off
// Case 2: left child only
// P
// | remove(N) P
// N ========> |
// / L
// L
// clang-format on
node = node->left;
node->updateHeight();
} else if (node->left == nullptr) {
// clang-format off
// Case 3: right child only
// P
// | remove(N) P
// N=====> |
// \ R
// R
// clang-format on
node = node->right;
node->updateHeight();
} else if (node->right->left == nullptr) {
// clang-format off
// Case 4: both left and right child, right child has no left child
// | |
// N remove(N) R
// / \ ========> /
// L R L
// clang-format on
NodePtr right = node->right;
swapNode(node, right);
right->right = node->right;
node = right;
node->updateHeight();
fixBalance(node);
} else {
// clang-format off
// Case 5: both left and right child, right child is not a leaf
// Step 1. find the node N with the smallest key
// and its parent P on the right subtree
// Step 2. swap S and N
// Step 3. remove node N like Case 1 or Case 3
// Step 4. update height for P
// | |
// N S |
// / \ / \ S
// L .. swap(N, S) L .. remove(N) / \
// | =========> | ========> L ..
// P P |
// / \ / \ P
// S .. N .. / \
// \ \ R ..
// R R
// clang-format on
// Step 1
NodePtr successor = node->right;
NodePtr parent = node;
while (successor->left != nullptr) {
parent = successor;
successor = parent->left;
}
// Step 2
swapNode(node, successor);
// Step 3
parent->left = node->right;
// Restore node
node = successor;
// Step 4
parent->updateHeight();
}
this->count -= 1;
return true;
}
void inorderTraversal(NodeConsumer action) const {
if (this->root == nullptr) {
return;
}
std::stack<NodePtr> stack;
NodePtr node = this->root;
while (node != nullptr || !stack.empty()) {
while (node != nullptr) {
stack.push(node);
node = node->left;
}
if (!stack.empty()) {
node = stack.top();
stack.pop();
action(node);
node = node->right;
}
}
}
};
#endif // AVLTREE_MAP_HPP
其他资料
在 AVL Tree Visualization 可以观察 AVL 树维护平衡的过程。